1z1-819 문제 166
적절한 JDBC URL은 무엇입니까?
1z1-819 문제 167
주어진 코드 조각:

for 문을 대체하는 코드 조각은 무엇입니까?

for 문을 대체하는 코드 조각은 무엇입니까?
1z1-819 문제 168
주어진:

그리고

결과는 무엇입니까?

그리고

결과는 무엇입니까?
1z1-819 문제 169
주어진:

a.Main이 새로운 Person을 할당하도록 허용하는 두 가지는 무엇입니까? (2개를 선택하세요.)

a.Main이 새로운 Person을 할당하도록 허용하는 두 가지는 무엇입니까? (2개를 선택하세요.)
1z1-819 문제 170
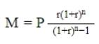
월별 모기지 상환액을 계산하는 공식이 주어지면:

그리고 이러한 선언:

수식을 어떻게 코딩할 수 있습니까?

그리고 이러한 선언:

수식을 어떻게 코딩할 수 있습니까?

